일반

저체중 2형 당뇨병 환자 사망 위험↑…비만보다 최대 5배

기사입력 2026.01.06 09:58
  • 저체중인 2형 당뇨병 환자의 사망위험이 비만 환자보다 더 높다는 대규모 연구 결과가 나왔다. 경도 비만 환자를 기준으로 비교했을 때 중증 저체중 환자의 사망 위험은 5배 이상 높아, 체중 감량 중심의 당뇨병 관리 전략에 대한 재검토가 필요할 것으로 보인다.

    한림대학교동탄성심병원 내분비내과 홍은경·최훈지 교수, 강북삼성병원 내분비내과 문선준 교수, 숭실대학교 정보통계보험수리학과 한경도 교수 공동연구팀은 국민건강보험공단 데이터를 활용한 전국 단위 후향적 코호트 연구를 통해 이 같은 결과를 확인했다고 6일 밝혔다.

    연구팀은 2015~2016년 건강검진을 받은 40세 이상 2형 당뇨병 환자 178만 8,996명을 2022년까지 추적 관찰했다. 대상자는 체질량지수(BMI)에 따라 중증 저체중(BMI <16.0kg/㎡), 중등도 저체중(16.0~16.9kg/㎡), 경도 저체중(17.0~18.4kg/㎡), 정상, 과체중, 경도·중등도·고도 비만으로 구분해 모든 원인에 의한 사망률을 비교했다.

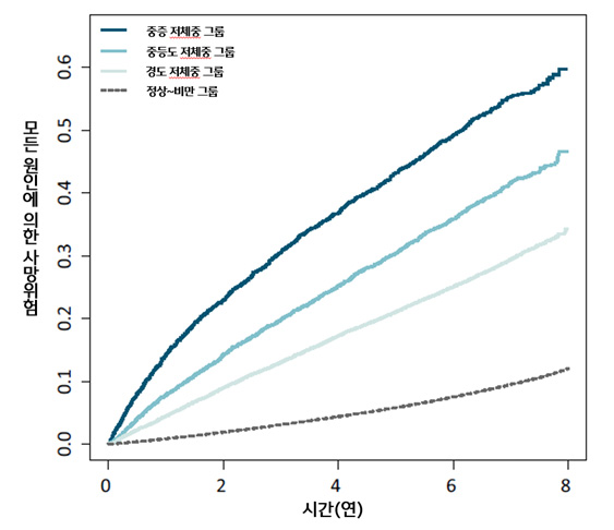
  • 그룹별 모든 원인에 의한 사망위험 비교 그래프 /이미지 제공=한림대학교동탄성심병원
    ▲ 그룹별 모든 원인에 의한 사망위험 비교 그래프 /이미지 제공=한림대학교동탄성심병원

    분석 결과, 저체중 환자군의 사망 위험은 비저체중군(정상~고도 비만)에 비해 최대 3.8배 높았다. 세부적으로는 경도 저체중 2.0배, 중등도 저체중 2.7배, 중증 저체중 3.9배로 나타났다. 사망 원인별로도 저체중 환자군은 당뇨병, 심혈관질환, 뇌혈관질환에 의한 사망률이 1.9~5.1배 높았다.

    연령별 분석에서는 65세 미만 저체중 환자의 사망 위험이 65세 이상보다 더 높아, 비교적 젊은 2형 당뇨병 환자에서도 저체중의 위험성이 두드러졌다. 저체중 환자들은 고령, 흡연, 저소득, 낮은 규칙적 운동 비율 등의 특성을 보였으나, 연령·성별·소득수준·생활 습관·공복 혈당·당뇨병 유병 기간 등을 모두 보정한 분석에서도 결과는 유지됐다.

    특히 경도 비만군의 사망 위험을 1.0으로 설정했을 때 중증 저체중 환자의 사망 위험은 5.2배에 달했다. 중등도 저체중은 3.6배, 경도 저체중은 2.7배로, 고도 비만군(1.5배)보다도 높은 수준이었다. 연구진은 이 결과가 저체중이 2형 당뇨병 환자의 생존과 밀접한 위험 지표로 작용할 수 있음을 시사한다고 설명했다.

    연구팀은 저체중 당뇨병 환자가 영양 불량이나 근육 소실 상태일 가능성이 높고, 이러한 체성분 불균형이 사망 위험 증가와 연관될 수 있다고 분석했다. 다만 이는 관찰 연구 결과로, 저체중이 사망의 ‘원인’임을 단정하는 것은 아니라고 덧붙였다.

    홍은경 교수는 “저체중 당뇨병 환자는 상대적으로 영양 상태가 불량하거나 근육량이 감소한 경우가 많다”며 “혈당 관리를 이유로 무리하게 체중을 줄이기보다는, 적정 근육량과 균형 잡힌 영양 상태를 포함한 체성분 관리를 유지하는 방향으로 관리 전략을 전환할 필요가 있다”고 말했다. 연구진은 체중 증가를 권장하는 것이 아니라, 근육량과 영양 상태를 포함한 전반적인 체성분 균형이 중요하다고 강조했다.

    이번 연구는 아시아인을 대상으로 한 대규모 데이터를 통해 저체중 2형 당뇨병 환자의 사망 위험을 입증했다는 점에서 의미가 있다. 연구 결과는 영양 불량과 근감소증을 다루는 국제 학술지인 Journal of Cachexia, Sarcopenia and Muscle 지난해 12월호에 게재됐다.

최신뉴스