일반

‘수면 중 뇌 청소’ 실시간으로 본다…국내 연구팀, 세계 첫 기술 개발

기사입력 2025.07.23 09:54
비침습적 근적외선 기술로 아교임파계 활동 정량화…치매 조기 평가 기반 마련
  • 자는 동안 뇌를 씻어내는 뇌 청소 시스템의 작동 과정을 실시간으로 관찰할 수 있는 기술이 국내 연구진에 의해 세계 최초로 개발됐다. 수면의 역할을 정량적으로 계측할 수 있는 기반이 마련되면서, 치매와 같은 퇴행성 뇌 질환의 조기 평가와 수면 건강 모니터링의 새로운 가능성이 열리고 있다.

    분당서울대병원 신경과 윤창호 교수와 KAIST 전기·전자공학부 배현민 교수 공동 연구팀은 수면 중 뇌 속 노폐물 배출 시스템인 ‘아교임파계(Glymphatic System)’의 활동을 비침습적으로 실시간 정량화할 수 있는 근적외선 분광(NIRS) 기반 기술을 세계 최초로 구현했다고 23일 밝혔다.

    수면 중 뇌척수액이 독성 단백질 제거…‘아교임파계’ 실시간 관찰

    알츠하이머병 등 주요 퇴행성 뇌 질환은 아밀로이드 베타와 같은 병적 단백질이 뇌에 과도하게 축적되면서 발생하는 것으로 알려졌다. 수면 중 뇌척수액이 뇌 실질조직에 스며들며 이런 노폐물을 씻어내는 기능을 수행하는 시스템이 바로 ‘아교임파계’다.

    기존에는 이 시스템의 작동 여부를 사람의 자연 수면 상태에서 실시간으로 파악하는 데 한계가 있었다. MRI 촬영은 조영제를 투여해야 하며, 수면 전체를 연속적으로 측정하기 어렵고 결과를 정량화하기도 쉽지 않다.

  • 연구팀이 개발한 무선 근적외선 분광기. 이마에 부착해 수면 중 뇌 수분량을 측정하면 아교임파계 활성도를 확인할 수 있다. /이미지 제공=분당서울대병원
    ▲ 연구팀이 개발한 무선 근적외선 분광기. 이마에 부착해 수면 중 뇌 수분량을 측정하면 아교임파계 활성도를 확인할 수 있다. /이미지 제공=분당서울대병원

    연구팀은 이를 해결하기 위해 무선 근적외선 분광기를 활용했다. 이 장비는 이마에 부착해 작동하며, 700~1000nm 파장의 근적외선을 뇌에 투과시켜 반사된 빛의 흡수율을 분석하는 방식이다. 이를 통해 뇌 수분량, 산소포화도, 혈류량 등 생리학적 지표를 실시간으로 측정할 수 있다.

    특히 연구팀은 수분 변화에서 뇌 혈류의 영향을 제거하는 알고리즘을 적용해, 아교임파계 활동과 직접적으로 연관된 수분량을 정밀하게 분리해 평가할 수 있도록 설계했다.

    깊은 수면 단계일수록 뇌 수분량 증가…41명 대상 검증

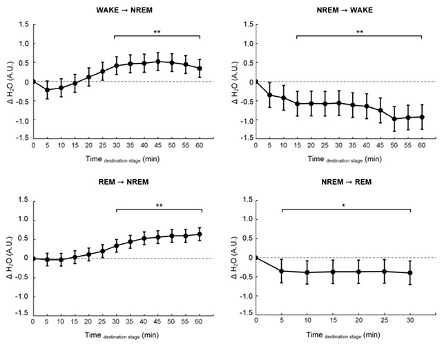
    연구팀은 건강한 성인 41명을 대상으로 해당 장비를 사용해 수면 중 관찰을 진행한 결과, 비렘수면(NREM)으로 진입하면서 전두엽 뇌 수분량이 유의하게 증가하는 패턴을 확인했다. 특히 수면 초반의 첫 번째 깊은 수면 단계에서 수분량 증가 폭이 가장 컸으며, 이는 동물실험에서 보고된 아교임파계의 활성 패턴과도 유사한 양상이었다.

  • 무선 근적외선 분광기로 5분마다 측정한 뇌 수분량 변화. 비렘수면, 특히 깊은 수면 단계로 진입할수록 뇌 수분량이 뚜렷하게 증가하며, 아교임파계에 의한 뇌 세척 활동이 활발해지고, 반대로 렘수면이나 각성 상태에서는 뇌 수분량이 감소해 청소 기능이 저하되는 모습이 관찰됐다. /이미지 제공=분당서울대병원
    ▲ 무선 근적외선 분광기로 5분마다 측정한 뇌 수분량 변화. 비렘수면, 특히 깊은 수면 단계로 진입할수록 뇌 수분량이 뚜렷하게 증가하며, 아교임파계에 의한 뇌 세척 활동이 활발해지고, 반대로 렘수면이나 각성 상태에서는 뇌 수분량이 감소해 청소 기능이 저하되는 모습이 관찰됐다. /이미지 제공=분당서울대병원

    다만 이번 연구는 건강한 성인에 한정된 초기 실험으로, 실제 치매 고위험군이나 수면장애 환자에게 적용했을 때의 결과는 아직 확인되지 않았다. 향후 임상 확대를 통해 기술 신뢰도와 적용 범위를 입증하는 과정이 필요하다.

    이번 연구 결과는 국제뇌혈류대사학회 공식 학술지 ‘Journal of Cerebral Blood Flow and Metabolism’에 최근 게재됐다.

    조기 진단보다는 과학적 기반 마련…향후 임상·상용화 연구 필요

    윤창호 교수는 “이번 연구는 수면 중 아교임파계의 활동을 비침습적으로 실시간 관찰할 수 있는 세계 최초의 기술로, 수면과 뇌 건강 간의 연관성을 과학적으로 규명할 수 있는 토대를 마련했다”며 “향후 치매나 파킨슨병 등 퇴행성 뇌 질환의 고위험군 선별, 수면 치료 효과 평가 등 다양한 분야로 확장될 수 있을 것”이라고 밝혔다.

    이 기술은 무선·비침습 방식으로 구현돼, 향후에는 가정용 웨어러블 장비로의 발전 가능성도 기대된다. 다만 연구팀도 기술의 초기 단계임을 인정하고 있으며, 보다 다양한 인구 집단을 대상으로 한 추가 연구와 상용화를 위한 검증 과정이 필요하다고 밝혔다.

최신뉴스